Feb 13 2026
/
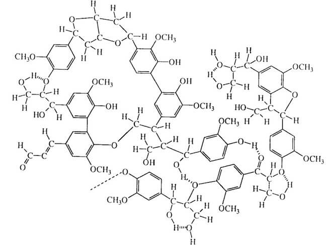
FOCUS SCIENTIFICO – La lignina come risorsa bio-based per l’industria conciaria: stato dell’arte, prestazioni e prospettive di sviluppo – PARTE I
A cura del Dr. Andrea Sarnataro – 13/02/2026
L’industria conciaria è tradizionalmente basata su processi di concia ai sali di cromo(III) e sull’impiego di tannini sintetici che, pur garantendo eccellenti prestazioni tecnico-funzionali, generano effluenti ad elevato contenuto di sali, metalli pesanti e sostanze organiche recalcitranti, con possibili problemi di tossicità, ecotossicità e gestione dei fanghi di depurazione.
LINK AL FOCUS COMPLETO QUI
Related Posts
Delegazione del Sudafrica visita il Distretto della Pelle
Nei giorni scorsi il distretto della pelle della nostra provincia ha ricevuto la visita di…
XXXIII Congresso IULTCS 2015
ABQTIC is the association currently in charge of the organisation of the XXXIII IULTCS CONGRESS…
World Leather Congress 2015
MILAN, The Capital Of Leather "Trends and Future Challenges" is the subject of the 2nd…
Ricerca
Le attività di Ricerca della SSIP sono rivolte essenzialmente alla Chimica e Tecnologia Conciaria, nonché…